近日,我校太阳集团tyc33455和能源材料化学研究院武利民教授和谷晓俊教授联合团队取得重要研究进展,相关成果在化学领域的国际顶级学术期刊Angew. Chem. Int. Ed.上发表,题为“Carbon Nitride Pillared Vanadate Via Chemical Pre-Intercalation Towards High-Performance Aqueous Zinc-Ion Batteries”(论文连接:https://onlinelibrary.wiley.com/doi/10.1002/anie.202303529),并被选为Hot Paper。我校太阳集团tyc334552020级博士研究生徐月为第一作者,武利民教授、谷晓俊教授、郭艳副教授及北京化工大学于乐教授为通讯作者,太阳集团为论文第一完成单位。

水系锌离子电池作为一种先进的储能系统,具有高安全性、低成本等优点,受到了人们普遍关注。钒基氧化物具有可调的层状结构、高理论容量等优点,被认为是有发展潜力的锌离子电池正极材料之一。然而,钒基正极仍然面临层间距狭窄、本征电导率低和钒溶解等挑战,严重降低了其可逆容量和循环寿命。鉴于此,本研究采用化学预嵌入策略,设计合成了氮化碳(C3N4)插层的、兼具大层间距和丰富氧空位的钒酸铵(NVO)纳米带(图1),作为高性能水系锌离子电池正极材料,并系统研究了材料的微观结构、组装形成的电池性能与储能机制。

图1. NVO纳米带的合成与结构表征
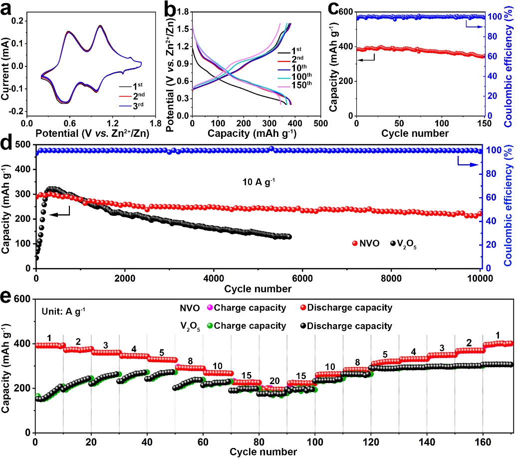
在材料合成过程中,C3N4纳米片作为氮源被H2O2刻蚀并释放出NH4+离子,促进V2O5形成了层状NVO,并且刻蚀过程中形成的超微C3N4纳米片原位插入到层状结构中,增加了层间距。得益于C3N4插层形成的柱撑结构与丰富的氧空位,NVO的导电性和电荷/离子传输能力有了很大提升,在20 A g-1的大电流密度下显示出高达194.7 mAh g-1的比容量,在10 A g-1的电流密度下可稳定循环10000次以上,并呈现良好的循环稳定性和可逆性(图2)。此外,基于密度泛函理论的计算结果表明,NVO能够更好地与锌结合,加速电极/电解液界面处的电荷转移。

图2. 基于NVO纳米带的锌离子电池性能
综上,该研究为设计结构新颖的钒基正极材料提供了新思路,并为大幅提高水系锌离子电池的倍率性能和循环寿命提供了新策略。研究受到国家自然科学基金、内蒙古自治区科技计划、内蒙古自然科学基金等项目的支持。